Gravity’ Rainbow can be a lot of fun. But there are also these episodes being absolutely bleak and repulsive. There is this famous scene where a character eats shit. But I think all the stuff about sexual violence is much harder to stomach:
She recalls his teeth before any other feature, teeth were to benefit most directly from the Oven: from what is planned for her, and for Gottfried. He never uttered it clearly as threat, nor ever addressed to either of them directly, but rather across her trained satin thighs to the evening’s guests, or down the length of Gottfried’s docile spine (“the Rome-Berlin Axis” he called it the night the Italian came and they were all on the round bed, Captain Blicero plugged into Gottfried’s upended asshole and the Italian at the same time into his pretty mouth) Katje only passive, bound and gagged and false-eyelashed, serving tonight as human pillow for the Italian’s whitening perfumed curls (roses and fat just at the edge of turning rancid) . . . each utterance a closed flower, capable of exfoliation and infinite revealing (she thinks of a mathematical function that will expand for her bloom-like into a power series with no general term, endlessly, darkly, though never completely by surprise) . . . his phrase Padre Ignacio unfolding into Spanish inquisitor, black robes, brown arching nose, the suffocating smell of incense + confessor/executioner + Katje and Gottfried both kneeling, side by side in dark confessional + children out of old Märchen kneeling, knees cold and aching, before the Oven, whispering to it secrets they can tell no one else + Captain Blicero’s witch-paranoia, suspecting them both, Katje despite her NSB credentials + the Oven as listener/avenger + Katje kneeling before Blicero in highest drag
Pynchon, Thomas. Gravity’s Rainbow (Classic, 20th-Century, Penguin) (S.94-95). Penguin Publishing Group. Kindle-Version.
I think it’s worth to think about a minute why the mathematical imagery is here in the first place. Even if you tend to think a lot about math: Are power series really the first thing coming to mind in such a situation? So maybe this tells us more about the narrator of the scene than the personality of Katje. It’s a very paranoid theory, but I like to imagine the scene is being narrated by Franz Pökler, a character working as an engineer for the V2 Rocket. “Captain Blicero” (aka Weissmann) is his boss, who Pökler hates for various reasons, so he may imagine him being this outlandish evil person torturing people, which are (naturally) using math as a coping mechanism.
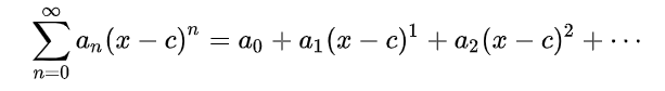
But anyway: A power series is an infinite series of the form:

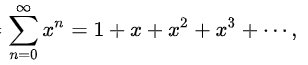
A simple example of this is the geometric series:

Setting x=2 this could be used to model the exponential growth of bacteria, doubling every n-th time-step:


2^n is the general term. If you have this formula, you can calculate every element of the series.
But what if you have only some elements of the series? Is it possible to reconstruct the general term? What could it be for the following example?
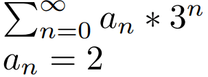
2 + 6 + 18 + 54 + …

Spoiler: No, it’s not possible. Sure, it could be:

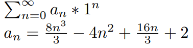
But it could also be this:

That’s the problem with being held captive by Blicero or reading Pynchon’s books: You never know what surprises they’ve got in store for you..


